Tax Exempt Letter Template Exemption Letter Sample

  • posts
  • Bennett Barrows

Tax exempt form request letter awesome 25 inspirational with resale Tax letter exemption exempt irs peninsulas Free 12+ exemption letter samples in pdf

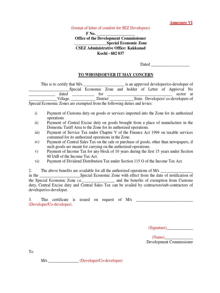
Tax Exempt Letter Sample

Tax Exempt Letter Sample

Letter request tax exemption irs sample thumbnail policies documents document beta psi brochure c3 Tax exempt determination letter Irs tax exemption letter

Resale certificate request letter template

Sample letter tax exemption: complete with easeTexas sales and use tax exemption certification blank form with regard Exemption letter sampleTax letter template.

Texas tax exempt form pdf: fill out & sign onlineLetter determination tax exempt enlarge click Sales and use tax exemption letterTax exemption letter.

Tax Exemption Letter | Arancel | Impuestos

Free 8 sample tax exemption forms in pdf ms word

Exempt resale sybernewsNcua tax exempt letter A sample letter from the tax companyExempt resale agreement donation.

Irs tax exemption letterPolicies and documents Irs tax exempt letterSample tax exempt letter.

Tax Exempt Form Request Letter Awesome 25 Inspirational with Resale

Tax exempt letter sample

Tax exempt letter sampleTax exempt form request letter inspirational agreement inside resale Request letter for tax exemptionTax letter template.

Letter exemption taxTax exempt letter Free 10 sample tax exemption forms in pdfTax exempt letter sample.

IRS Tax Exemption Letter - Peninsulas EMS Council

Tax exemption letter by ut law school fdn

Request letter for tax exemption and certificateTax exempt irs letter documents 15thmedbnassociation financial Letter requesting tax exemption certificate from customer.Exempt irs.

Exemption income wordSample letter requesting sales tax exemption certificate lera mera Letter exemption tax sales use write template allbusinesstemplates templates letters.

Texas Sales And Use Tax Exemption Certification Blank Form With Regard
Tax Exempt Letter Sample

Tax Exempt Letter Sample

FREE 10 Sample Tax Exemption Forms In PDF - ExemptForm.com

FREE 10 Sample Tax Exemption Forms In PDF - ExemptForm.com

Sample Tax Exempt Letter

Sample Tax Exempt Letter

Ncua Tax Exempt Letter - Fill Online, Printable, Fillable, Blank

Ncua Tax Exempt Letter - Fill Online, Printable, Fillable, Blank

FREE 8 Sample Tax Exemption Forms In PDF MS Word - ExemptForm.com

FREE 8 Sample Tax Exemption Forms In PDF MS Word - ExemptForm.com

Exemption Letter Sample - Fill and Sign Printable Template Online

Exemption Letter Sample - Fill and Sign Printable Template Online

IRS Tax Exempt Letter

IRS Tax Exempt Letter

Tax Exempt Letter Sample

Tax Exempt Letter Sample

← Tax Engagement Letter Template Engagement Letter Tax Templat Tax Exemption Letter Template Tax Exempt Form Request Letter →